Uprava za indirektno oporezivanje Bosne i Hercegovine obavijestila je o novim malopridajnim cijenama cigareta od tri distributera.
Cigarete kompanije TDR poskupjet će od 13. februara, zatim od 19. februara primjenjuju se nove cijene Philip Morrisa, a od 9. marta to će učiniti Nelt.
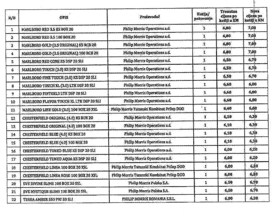
U nastavku pogledajte nove cijene:














